Beranda
/ Sepotong Kawat Menembus Medan Magnet Homogen : Contoh Soal Fluks Magnetik Ggl Induksi Dan Pembahasan Soalfismat Com / Jika laju perubahan fluks diperbesar menjadi 6 wb/s maka perbandingan ggl induksi sebelum dan sesudah laju perubahan fluksnya adalah.
Sepotong Kawat Menembus Medan Magnet Homogen : Contoh Soal Fluks Magnetik Ggl Induksi Dan Pembahasan Soalfismat Com / Jika laju perubahan fluks diperbesar menjadi 6 wb/s maka perbandingan ggl induksi sebelum dan sesudah laju perubahan fluksnya adalah.
Sepotong Kawat Menembus Medan Magnet Homogen : Contoh Soal Fluks Magnetik Ggl Induksi Dan Pembahasan Soalfismat Com / Jika laju perubahan fluks diperbesar menjadi 6 wb/s maka perbandingan ggl induksi sebelum dan sesudah laju perubahan fluksnya adalah.. Sepotong kawat menembus medan magnet homogen secara tegak lurus dengan laju perubahan fluks 3 wb/s. Sepotong kawat menembus medan magnet homogen secara tegak lurus dengan laju perubahan fluks 3 wbs. Sepotong kawat menembus medan magnet homogen secara tegak lurus dengan laju perubahan fluks 6 wb/s. Sepotong kawat menembus medan magnet homogen secara tegak lurus dengan laju perubahan fluks 3 wb/s. View soal nomor 1 fisika.docx from fisika 1 at binus university.
Kumpulan soal magnet dan elektromagnet. Gambar di bawah ini, maka kawat tersebut akan mengalami gaya magnet yang arahnya. Sepotong kawat menembus medan magnet homogen secara tegak lurus dengan laju perubahan fluks magnetik 3 wb/s. Sepotong kawat menembus medan magnet homogen secara tegak lurus dengan laju perubahan fluks 3 wb. Elektromagnetik imbas elektromagnetik induksi elektromagnetik induksi elektromagnetik kelas 9 materi induksi elektromagnetik rumus induksi elektromagnetik soal dan pembahasan soal fisika soal pilihan ganda soal un.
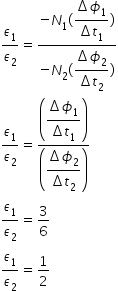
Djuwita Project Reyhan Contoh Soal Induksi Elektromagnetik from 1.bp.blogspot.com Jika laju perubahan fluks diperbesar menjadi 6 wb/s maka perbandingan ggl induksi sebelum dan sesudah laju perubahan fluksnya adalah. Sepotong kawat menembus medan magnet homogen secara tegak lurus dengan laju perubahan fluks 3 wb/s. Jika laju perubahan fluks diperbesar menjadi 6 wb/s maka perbandingan ggl induksi sebelum dan sesudah laju perubahan fluksnya adalah. Cara menjawab soal ini sebagai berikut: Elektromagnetik imbas elektromagnetik induksi elektromagnetik induksi elektromagnetik kelas 9 materi induksi elektromagnetik rumus induksi elektromagnetik soal dan pembahasan soal fisika soal pilihan ganda soal un. Contoh soal induksi elektromagnetik dan pembahasan soal nomor 1 (un 2013) sepotong kawat menembus medan magnet homogen. Keempat jari menunjuk medan magnet. Kawat panjang l dalam medan magnet jika laju perubahan fluks diperbesar homogen b dengan kecepatan v menjadi 6 wb, maka perbandingan sehingga timbul ggl induksi = ɛ.
Jika laju perubahan fluks diperbesar menjadi 6 wb/s, maka perbandingan ggl lnduksi sebelum.
Jika laju perubahan fluks diperbesar menjadi 6 wbs maka perbandingan ggl induksi sebelum dan sesudah laju perubahan fluksnya. Satuan dan rumus medan magnet. Sepotong kawat menembus medan magnet homogen secara tegak lurus dengan laju perubahan fluks 3 wb/s. Sepotong kawat menembus medan magnet homogen secara tegak lurus dengan laju perubahan fluks 3 wb/s. Informasi berikut digunakan untuk menjawab soal nomor 1 dan 2. Feb 24, 2017 22.08 bank soal, soal&pembahasan, ujian nasional fisika no comments. Jika laju perubahan fluks diperbesar menjadi 6 wb/s maka perbandingan ggl induksi sebelum dan sesudah laju perubahan fluksnya adalah. Keempat jari menunjuk medan magnet. Contoh soal induksi elektromagnetik dan pembahasan soal nomor 1 un 2013 sepotong kawat menembus medan magnet homogen secara tegak. Jika laju perubahan fluks diperbesar menjadi 6 wb, maka perbandingan ggl induksi sebelum dan sesudah laju perubahan fluksnya adalah… a.1 : Ebook fisika kelas 12 sma. Cara menjawab soal ini sebagai berikut: Apabila hambatan seluruh rangkaian ab = 10 ohm, maka besar dan arah gaya lorenz yang bekerja pada kawat ab adalah ….
Sepotong kawat menembus medan magnet homogen secara tegak lurus dengan laju perubahan fluks 6 wb/s. Sepotong kawat menembus medan magnet homogen secara tegak lurus dengan laju perubahan fluks 3 wb/s. Contoh soal induksi elektromagnetik dan pembahasan soal nomor 1 (un 2013) sepotong kawat menembus medan magnet homogen. Jika laju perubahan fluks diperbesar menjadi 6 wb/s maka perbandingan ggl induksi sebelum dan sesudah laju perubahan fluksnya adalah. Fisika latihan soal induksi elektromagnetik pahamify teman persiapan utbk.
Soal Dan Pembahasan Tentang Induksi Elektromagnetik Fisika Dasar 2 Jawabanku Id from image.slidesharecdn.com Y+ penyelesaian arah gaya magnet mengikuti aturan kanan di mana: Apabila hambatan seluruh rangkaian ab = 10 ohm, maka besar dan arah gaya lorenz yang bekerja pada kawat ab adalah …. Soal nomor 1 (un 2013) sepotong kawat menembus medan magnet homogen secara tegak lurus dengan laju perubahan fluks 3. Contoh soal induksi elektromagnetik dan pembahasan soal nomor 1 un 2013 sepotong kawat menembus medan magnet homogen secara tegak. Sepotong penghantar berarus listrik terletak dalam medan magnet homogen seperti gambar. Feb 24, 2017 22.08 bank soal, soal&pembahasan, ujian nasional fisika no comments. Contoh soal induksi elektromagnetik dan pembahasan soal nomor 1 (un 2013) sepotong kawat menembus medan magnet homogen. Berapakah perbandingan ggl induksi sebelum dan sesudah laju perubahan fluksnya jika laju perubahan fluks diperbesar menjadi 6 wb/s ?
Satuan dan rumus medan magnet.
Berapakah perbandingan ggl induksi sebelum dan sesudah laju perubahan fluksnya jika laju perubahan fluks diperbesar menjadi 6 wb/s ? Latihan mandiri induksi magnetik dan arus tegangan bolak balik. Kawat panjang l dalam medan magnet jika laju perubahan fluks diperbesar homogen b dengan kecepatan v menjadi 6 wb, maka perbandingan sehingga timbul ggl induksi = ɛ. Preview this quiz on quizizz. Soal nomor 1 (un 2013) sepotong kawat menembus medan magnet homogen secara tegak lurus dengan laju perubahan fluks 3. Jika laju perubahan fluks diperbesar menjadi 6 wb/s, maka perbandingan ggl lnduksi sebelum. Cara menjawab soal ini sebagai berikut: Soal dan pembahasan un fisika. Apabila hambatan seluruh rangkaian ab = 10 ohm, maka besar dan arah gaya lorenz yang bekerja pada kawat ab adalah …. Sepotong kawat menembus medan magnet homogen secara tegak lurus dengan laju perubahan fluks 3 wb/s. Jika laju perubahan fluks diperbesar menjadi 6 wb maka perbandingan ggl induksi sebelum dan sesudah laju perubahan fluks adalah… Jika laju perubahan fluks diperbesar menjadi 6 wbs maka perbandingan ggl induksi sebelum dan sesudah laju perubahan fluksnya. Sepotong kawat menembus medan magnet homogen secara tegak lurus dengan laju perubahan fluks magnetik 3 wb/s.
Sepotong kawat menembus medan magnet homogen secara tegak lurus dengan laju perubahan fluks 3 wb/s. Jika laju perubahan fluks diperbesar menjadi 6 wbs maka perbandingan ggl induksi sebelum dan sesudah laju perubahan fluksnya. Sepotong kawat menembus medan magnet homogen secara tegak lurus dengan laju perubahan fluks 3 wb/s. Jika laju perubahan fluks diperbesar menjadi 6 wb, maka perbandingan ggl induksi sebelum dan sesudah laju perubahan fluksnya adalah… a.1 : Jika laju perubahan fluks diperbesar menjadi 6 wb maka perbandingan ggl induksi sebelum dan sesudah laju perubahan fluks adalah…
Soal Dan Jawaban Fisika Soal Dan Jawaban Induksi Elektromagnetik from 2.bp.blogspot.com Elektromagnetik imbas elektromagnetik induksi elektromagnetik induksi elektromagnetik kelas 9 materi induksi elektromagnetik rumus induksi elektromagnetik soal dan pembahasan soal fisika soal pilihan ganda soal un. Latihan mandiri induksi magnetik dan arus tegangan bolak balik. Jika laju perubahan fluks diperbesar menjadi 6 wbs maka perbandingan ggl induksi sebelum dan sesudah laju perubahan fluksnya. Sepotong kawat menembus medan magnet homogen secara tegak lurus dengan laju perubahan fluks 3 wbs. Fluks magnetik kumparan pertama mempunyai 200 lilitan berubah sebesar 0,06 wb dalam waktu 0,4 s. Jika laju perubahan fluks diperbesar menjadi 6 wb/s maka perbandingan ggl induksi sebelum dan sesudah laju perubahan fluksnya adalah. Δφ 1 = 6 wb Sepotong kawat menembus medan magnet homogen secara tegak lurus dengan laju perubahan fluks 3 wb/s.
Sepotong kawat menembus medan magnet homogen secara tegak lurus dengan laju perubahan fluks 3 wb/s.
Apabila hambatan seluruh rangkaian ab = 10 ohm, maka besar dan arah gaya lorenz yang bekerja pada kawat ab adalah …. Informasi berikut digunakan untuk menjawab soal nomor 1 dan 2. Jika laju perubahan fluks diperbesar menjadi 6 wb/s maka perbandingan ggl induksi sebelum dan sesudah laju perubahan fluksnya adalah. Sepotong kawat menembus medan magnet homogen secara tegak lurus dengan laju perubahan fluks 3 wb/s. Sepotong kawat menembus medan magnet homogen secara tegak lurus dengan laju perubahan fluks 3 wb/s. Kawat panjang l dalam medan magnet jika laju perubahan fluks diperbesar homogen b dengan kecepatan v menjadi 6 wb, maka perbandingan sehingga timbul ggl induksi = ɛ. View soal nomor 1 fisika.docx from fisika 1 at binus university. Sepotong kawat menembus medan magnet homogen secara tegak lurus dengan laju perubahan fluks 3 wb/s. Keempat jari menunjuk medan magnet. Satuan dan rumus medan magnet. Soal dan pembahasan un fisika. Jika laju perubahan fluks diperbesar menjadi 6 wb/s maka perbandingan ggl induksi sebelum dan sesudah laju perubahan fluksnya adalah. Ebook fisika kelas 12 sma.
Berbagi
Posting Komentar
untuk "Sepotong Kawat Menembus Medan Magnet Homogen : Contoh Soal Fluks Magnetik Ggl Induksi Dan Pembahasan Soalfismat Com / Jika laju perubahan fluks diperbesar menjadi 6 wb/s maka perbandingan ggl induksi sebelum dan sesudah laju perubahan fluksnya adalah."
Posting Komentar untuk "Sepotong Kawat Menembus Medan Magnet Homogen : Contoh Soal Fluks Magnetik Ggl Induksi Dan Pembahasan Soalfismat Com / Jika laju perubahan fluks diperbesar menjadi 6 wb/s maka perbandingan ggl induksi sebelum dan sesudah laju perubahan fluksnya adalah."